(Summer/Winter Coding(~2018) / 배달)
[문제]
문제 설명
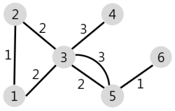
N개의 마을로 이루어진 나라가 있습니다. 이 나라의 각 마을에는 1부터 N까지의 번호가 각각 하나씩 부여되어 있습니다. 각 마을은 양방향으로 통행할 수 있는 도로로 연결되어 있는데, 서로 다른 마을 간에 이동할 때는 이 도로를 지나야 합니다. 도로를 지날 때 걸리는 시간은 도로별로 다릅니다. 현재 1번 마을에 있는 음식점에서 각 마을로 음식 배달을 하려고 합니다. 각 마을로부터 음식 주문을 받으려고 하는데, N개의 마을 중에서 K 시간 이하로 배달이 가능한 마을에서만 주문을 받으려고 합니다. 다음은 N = 5, K = 3인 경우의 예시입니다.

위 그림에서 1번 마을에 있는 음식점은 [1, 2, 4, 5] 번 마을까지는 3 이하의 시간에 배달할 수 있습니다. 그러나 3번 마을까지는 3시간 이내로 배달할 수 있는 경로가 없으므로 3번 마을에서는 주문을 받지 않습니다. 따라서 1번 마을에 있는 음식점이 배달 주문을 받을 수 있는 마을은 4개가 됩니다.
마을의 개수 N, 각 마을을 연결하는 도로의 정보 road, 음식 배달이 가능한 시간 K가 매개변수로 주어질 때, 음식 주문을 받을 수 있는 마을의 개수를 return 하도록 solution 함수를 완성해주세요.
제한사항
- 마을의 개수 N은 1 이상 50 이하의 자연수입니다.
- road의 길이(도로 정보의 개수)는 1 이상 2,000 이하입니다.
- road의 각 원소는 마을을 연결하고 있는 각 도로의 정보를 나타냅니다.
- road는 길이가 3인 배열이며, 순서대로 (a, b, c)를 나타냅니다.
- a, b(1 ≤ a, b ≤ N, a != b)는 도로가 연결하는 두 마을의 번호이며, c(1 ≤ c ≤ 10,000, c는 자연수)는 도로를 지나는데 걸리는 시간입니다.
- 두 마을 a, b를 연결하는 도로는 여러 개가 있을 수 있습니다.
- 한 도로의 정보가 여러 번 중복해서 주어지지 않습니다.
- K는 음식 배달이 가능한 시간을 나타내며, 1 이상 500,000 이하입니다.
- 임의의 두 마을간에 항상 이동 가능한 경로가 존재합니다.
- 1번 마을에 있는 음식점이 K 이하의 시간에 배달이 가능한 마을의 개수를 return 하면 됩니다.
입출력 예시
| n | road | k | result |
| 5 | [[1,2,1],[2,3,3],[5,2,2],[1,4,2],[5,3,1],[5,4,2]] | 3 | 4 |
| 6 | [[1,2,1],[1,3,2],[2,3,2],[3,4,3],[3,5,2],[3,5,3],[5,6,1]] | 4 | 4 |
입출력 예 #1
문제의 예시와 같습니다.
입출력 예 #2
주어진 마을과 도로의 모양은 아래 그림과 같습니다.

1번 마을에서 배달에 4시간 이하가 걸리는 마을은 [1, 2, 3, 5] 4개이므로 4를 return 합니다.
[팁]
town 배열을 최대값으로 초기화 후, 우선순위 큐를 활용하여 매 순간 가장 적은 시간이 드는 노드를 꺼내여 계산하면 됩니다.
[코드]
import java.util.PriorityQueue
class Solution {
// 각 노드로 가는 비용을 계산하기 위해
data class Node(val index:Int, val distance:Int):Comparable<Node>{
// 거리로 비교
override fun compareTo(other:Node):Int{
return this.distance.compareTo(other.distance)
}
}
fun solution(N: Int, road: Array<IntArray>, k: Int): Int {
// 최대 배달가능 시간이 500000이므로 500001로 초기화 후 첫번째를 0으로 초기화
val town = IntArray(N + 1){ 500001 }.apply{ this[1] = 0 }
// 우선순위 큐 생성 후 첫 노드 추가
val pq = PriorityQueue<Node>().apply{ offer(Node(1, 0)) }
while(pq.isNotEmpty()){
// 현재 노드를 꺼냄
val now = pq.poll()
// 현재 거리가 저장한 거리보다 크면 continue
if(now.distance > town[now.index]) continue
for(i in road.indices){
// 현재위치가 road[i][0]와 일치할 경우
if(road[i][0] == now.index){
// 다음 위치로 가는 비용 계산
val cost = now.distance + road[i][2]
// 다음 인덱스 저장
val idx = road[i][1]
// 다음위치로 가는 비용이 저장된 값보다 작을경우 town을 작은 값으로 초기화 후 우선순위 큐에 다음 노드 삽입
if(cost < town[idx]){
town[idx] = cost
pq.offer(Node(idx, cost))
}
}
// 현재위치가 road[i][1]와 일치할 경우
else if(road[i][1] == now.index){
// 다음 위치로 가는 비용 계산
val cost = now.distance + road[i][2]
// 다음 인덱스 저장
val idx = road[i][0]
// 다음위치로 가는 비용이 저장된 값보다 작을경우 town을 작은 값으로 초기화 후 우선순위 큐에 다음 노드 삽입
if(cost < town[idx]){
town[idx] = cost
pq.offer(Node(idx, cost))
}
}
}
}
// town에서 k보다 작거나 같은 값의 개수를 반환
return town.count{ it <= k }
}
}
코딩테스트 연습 - 배달
5 [[1,2,1],[2,3,3],[5,2,2],[1,4,2],[5,3,1],[5,4,2]] 3 4 6 [[1,2,1],[1,3,2],[2,3,2],[3,4,3],[3,5,2],[3,5,3],[5,6,1]] 4 4
programmers.co.kr
제가 잘못 알고 있거나 잘못된 부분이 있을 경우 알려주시고 추가로 궁금한 점 있으신 분들도 댓글이나 메일 주시면 성실히 답변해 드리겠습니다.🧑🏻💻
감사합니다~😄
'Algorithm > level2' 카테고리의 다른 글
| [ 프로그래머스 - Kotlin ] 후보키 ( 코틀린 ) (0) | 2021.09.24 |
|---|---|
| [ 프로그래머스 - Kotlin ] 괄호 회전하기 ( 코틀린 ) (0) | 2021.09.24 |
| [ 프로그래머스 - Kotlin ] 위장 ( 코틀린 ) (0) | 2021.09.24 |
| [ 프로그래머스 - Kotlin ] 다리를 지나는 트럭 ( 코틀린 ) (0) | 2021.09.23 |
| [ 프로그래머스 - Kotlin ] H-Index ( 코틀린 ) (0) | 2021.09.23 |